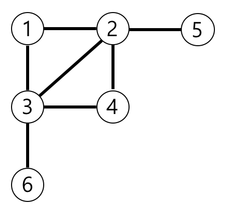
난이도 : Level 3

- 1번 노드에서 가장 멀리 떨어진 노드의 갯수를 구하라
해설
1. 인접노드 데이터 자료구조 생성
private Map<Integer, Set<Integer>> init(int[][] edge, Map<Integer, Set<Integer>> edges) {
for (int i = 0; i < edge.length; i++) {
int src = edge[i][0]-1, desc = edge[i][1]-1;
makeEdges(src, desc, edges);
makeEdges(desc, src, edges);
}
return edges;
}
private void makeEdges(int src, int desc, Map<Integer, Set<Integer>> edges) {
if (!edges.containsKey(src)) {
Set<Integer> set = new HashSet<>();
set.add(desc);
edges.put(src, set);
} else {
edges.get(src).add(desc);
}
}
- 인접노드의 정보가 담긴 Map 자료구조를 생성함
- Key : 시작 노드, Value : 인접노드들의 집합
2. 너비우선 탐색으로 가장 먼 거리 구하기
public int solution(int n, int[][] edge) {
int answer = 0, longestDist = 0;
Map<Integer, Integer> map = new HashMap<>();
Map<Integer, Set<Integer>> edges = init(edge, new HashMap<>());
boolean[] visited = new boolean[n];
visited[0] = true;
Queue<int[]> queue = new LinkedList<>();
queue.offer(new int[] {0, 0});
while (!queue.isEmpty()) {
int[] c = queue.poll();
int cp = c[0], ct = c[1];
for (int neignbor : edges.get(cp)) {
if (visited[neignbor]) continue;
int np = neignbor, nt = ct+1;
if (!map.containsKey(nt)) map.put(nt, 1);
else map.put(nt, map.get(nt)+1);
longestDist = nt;
visited[neignbor] = true;
queue.offer(new int[] {np, nt});
}
}
return map.get(longestDist);
}
- 1과의 거리별 존재하는 노드수를 Map 자료구조에 저장하기
- 너비우선 탐색으로 방문하지 않은 이웃을 방문하고, 1과의 거리 별 카운트 수를 한개씩 올린다.
'Algorithm > (Java) PS' 카테고리의 다른 글
| [Programmers] 디스크 컨트롤러 (0) | 2023.09.30 |
|---|---|
| [Programmers] 순위 (0) | 2023.09.29 |
| [Programmers] 징검다리 (1) | 2023.09.28 |
| [Programmers] 입국심사 (0) | 2023.09.28 |
| [BOJ] 수 찾기 (0) | 2023.09.28 |