1. 멱집합 (Power Set)

- 임의의 집합 S에서 모든 부분 집합들로 구성된 집합입니다.
- ${\displaystyle {\mathcal {P}}(S)=\{A\colon A\subseteq S\}}$
코드
더보기
private void powerset(int depth) {
if (depth == size) {
List<String> temp = new ArrayList<>();
for (int i = 0; i < visited.length; i++) {
if (!visited[i]) continue;
temp.add(String.valueOf(src[i]));
}
System.out.println(Arrays.toString(temp));
return;
}
visited[depth] = false;
powerset(depth+1);
visited[depth] = true;
powerset(depth+1);
}
예
${\displaystyle \{a,b\}}$의 멱집합
- ${\displaystyle {\mathcal {P}}(\{a,b\})=\{\varnothing ,\{a\},\{b\},\{a,b\}\}}$
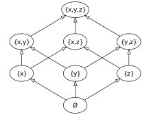
${\displaystyle \{a,b,c\}}$의 멱집합
- ${\displaystyle {\mathcal {P}}(\{a,b,c\})=\{\varnothing ,\{a\},\{b\},\{c\},\{a,b\},\{a,c\},\{b,c\},\{a,b,c\}\}}$
출처
'Algorithm' 카테고리의 다른 글
| [고급 알고리즘] Dynamic Programming: Knapsack Problem (1) | 2024.03.01 |
|---|---|
| [고급 알고리즘] Dynamic Programming: Fibonacci (0) | 2024.03.01 |
| [기초 알고리즘] 수학: 조합 (1) | 2024.02.25 |
| [기초 알고리즘] 수학: 순열 (0) | 2024.02.25 |
| [고급 알고리즘] Graph(MST): Prim Algorithm (0) | 2024.02.23 |