* 이 포스팅은 유튜브 "널널한 교수의 고급 파이썬" 강의를 듣고 요약한 포스팅임
1. 자료형과 참조변수
파이썬은 객체지향 언어로 참조변수를 통해 객체에 접근한다.
변수는 동적으로 참조하는 객체가 지정됨
객체당 고유하게 가지는 id값이 있음. 이는 주소와 관련이 있음
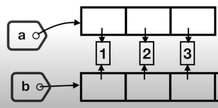
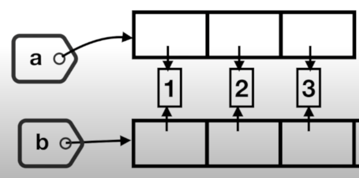
또한 하나의 객체에 여러 참조변수가 동시에 참조 가능
- 자료형
int, float, complex(복소수), str, list ... - 리스트
mutable한 객체이며 원소는 모두 같은 자료형이여야 함.
리스트의 요소는 값을 참조하는 참조형임
mutable한 객체이므로 수정이 안됨.
.append()시 추가된 원소를 가지는 새로운 객체를 가리키는것. 수정되는것이 아님.
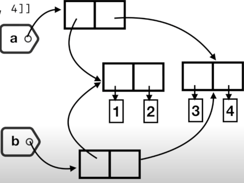
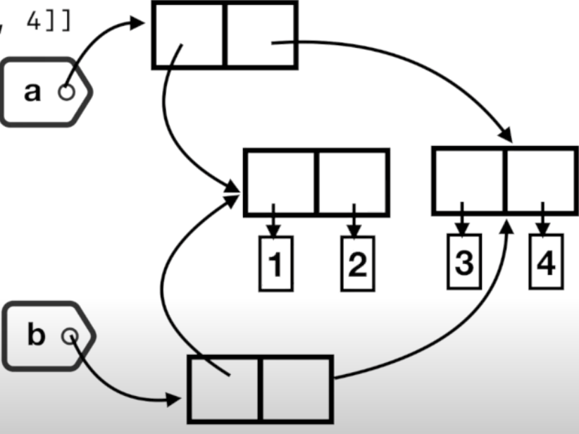
* 얕은 복사와 깊은 복사
단순참조로 할당 시, 데이터가 복사되지 않음. 참조함


깊은 복사는 새 복합 객체를 만들고 원본 객체 내에 있는 객체에 대한 복사를 재귀적으로 삽입함 ( 즉, 모두 복사함 )
copy.deepcopy() 사용

출처 : 유튜브 널널한 교수의 코딩 클래스 - 고급 파이썬 : 얕은복사와 깊은 복사
https://www.youtube.com/watch?v=RJqvaj8MI_o
'Python' 카테고리의 다른 글
| [Python 고급] 2. Meta class (0) | 2021.08.01 |
|---|---|
| [Python 고급] 1. variable scope, context Manager (0) | 2021.07.31 |
| [Python 중급] 2. 파이썬 병행성 (0) | 2021.07.31 |
| [Python 중급] 1. 파이썬 클래스, 시퀸스, 일급함수 (0) | 2021.07.31 |
| [Python 기초] 리스트 축약 표현 (0) | 2021.07.30 |