전체 글 606

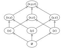
[기초 알고리즘] 수학: 멱집합

1. 멱집합 (Power Set)임의의 집합 S에서 모든 부분 집합들로 구성된 집합입니다.${\displaystyle {\mathcal {P}}(S)=\{A\colon A\subseteq S\}}$ 코드더보기private void powerset(int depth) { if (depth == size) { List temp = new ArrayList(); for (int i = 0; i  예${\displaystyle \{a,b\}}$의 멱집합${\displaystyle {\mathcal {P}}(\{a,b\})=\{\varnothing ,\{a\},\{b\},\{a,b\}\}}$ ${\displaystyle \{a,b,c\}}$의 멱집합${\displaystyle {\m..

Algorithm 2024.02.25

[기초 알고리즘] 수학: 조합

1. K-Combinationk개의 원소들을 사용해서, 순서를 고려하지 않고 배열한 모든 경우의 수 순열의 수${\displaystyle C(n,r)={\frac {n(n-1)\cdots (n-r+1)}{r!}}={\frac {n!}{r!(n-r)!}}}$ 성질대칭성n개의 원소에서 r개를 선택하는 것과 (n-r)개를 선택하는 방법의 수가 동일합니다.${\displaystyle {\binom {n}{r}}={\binom {n}{n-r}}}$ 재귀적 (파스칼의 삼각형)두 집합의 합원래 집합에서 하나의 원소를 제외하고, r개를 선택하는 방법의 수원래 집합에서 하나의 원소를 제외하고, r-1개를 선택하는 방법의 수${\displaystyle {\binom {n}{r}}={\binom {n-1}{r}}+{\bi..

Algorithm 2024.02.25

[기초 알고리즘] 수학: 순열

1. Permutation집합의 원소들을 모두 사용하여 순서를 고려하여 배열한 모든 경우의 수 전단사 함수정의역과 공역이 같습니다. 순열의 수${\displaystyle n!=n(n-1)(n-2)\cdots \cdot 2\cdot 1}$ 예좌석 배치(1,2,3,4)(2,1,3,4)(3,1,2,4)(4,1,2,3)(1,2,4,3)(2,1,4,3)(3,1,4,2)(4,1,3,2)(1,3,2,4)(2,3,1,4)(3,2,1,4)(4,2,1,3)(1,3,4,2)(2,3,4,1)(3,2,4,1)(4,2,3,1)(1,4,2,3)(2,4,1,3)(3,4,1,2)(4,3,1,2)(1,4,3,2)(2,4,3,1)(3,4,2,1)(4,3,2,1)  2. K-Permutation서로 다른 n개의 원소 가운데 유니크한 k개를..

Algorithm 2024.02.25

[고급 알고리즘] Graph(MST): Prim Algorithm

1. Prim AlgorithmMST를 찾는 알고리즘 입니다.인접 행렬과 우선순위 큐를 사용합니다. Greedy최소 비용의 인접 간선을 선택하여 MST를 만듭니다. 2. 동작 순서 0. 인접행렬 생성1. 시작 꼭짓점 선택2. MST에 간선 추가대상: 트리 정점에 부속된 간선들순서: 가중치가 가장 작은 간선 (우선순위 큐 사용) 모든 꼭짓점이 MST에 포함될 때까지 반복합니다.(모든 간선을 조사한 후 MST에 모든 꼭짓점이 없다면, 해당 그래프에는 MST가 존재하지 않습니다.) 3.  구현static class Edge implements Comparable { final int dest, weight; public Edge(int dest, int weight) { this.des..

Algorithm 2024.02.23

[고급 알고리즘] Graph(MST): Kruskal Algorithm

1. Kruskal AlgorithmMST 알고리즘 입니다.Union-Find, 정렬된 Edge set을 사용합니다. Greedy인접한 최소 비용의 간선을 선택하여 MST를 만듭니다. 2. 동작 순서1. 나무 초기화그래프의 각 꼭짓점을 각각 하나의 나무로 초기화합니다., 2. 정렬된 간선 집합 S 생성3. 숲 F 갱신S에서 가장 작은 가중치의 변을 뽑습니다.변의 꼭짓점이 이미 하나의 나무로 구성되어 있으면 버립니다. (사이클 방지)그 변에 연결된 두 나무를 하나의 나무로 만듭니다.전체적으로 하나의 숲을 만듭니다. S가 비어있지 않을 때까지 반복하여 모든 정점을 포함하는 최소 신장 트리를 만듭니다. 3. 예시  4. 구현static class Edge implements Comparable { fin..

Algorithm 2024.02.22

[고급 자료구조] Graph: Minimum spanning tree

1. Minimum spanning tree가중 그래프 + 무방향 그래프의 하위 트리 중,그래프의 모든 정점을 포함(spanning subgraph)하고, 사이클이 없으며, 가중치의 합이 최소인 하위트리를 말합니다. 2. Cut그래프의 정점들을 두 개의 분리된 집합으로 나누는 것을 의미합니다.각 집합은 비어있지 않습니다. Cut-Set컷을 통해 나뉜 두 집합의 정점들 사이를 잇는 모든 간선의 집합한 집합의 정점들과 다른 집합의 정점들 사이의 연결을 나타냅니다.Cut-Set에 속한 간선들을 제거하면, 그래프는 두 개의 연결되지 않은 부분 그래프로 나뉘게 됩니다. Cut Propertycut-set의 간선 중, 가중치가 가장 작은 간선들은 반드시 모든 MST에 포함됩니다.가장 가벼운 간선을 선택함으로써, 최..

Data Structure 2024.02.22

[BOJ] ABCDE

난이도 : Gold 5 문제 링크 1. 문제 설명 요구사항 모든 사람들의 친구관계가 주어질 때, 아래와 같은 친구관계가 존재하는지 판별하라. 친구관계 A는 B와 친구다. B는 C와 친구다. C는 D와 친구다. D는 E와 친구다. 2. 내 풀이 5명의 사람이 연쇄적으로 친구인 관계 존재 여부 자료구조 (친구관계) 친구관계 : 양방향, 다대다, (친구 수)가변적 무방향 그래프 Vertex: 사람, Edge: 친구 인접 리스트 (메모리 관점에서) 자신의 친구들을 효율적으로 기억할 수 있음 코드 // 선언 private static List graph = new ArrayList(); // 초기화 for (int i = 0; i < nodeCnt; i++) { graph.add(new ArrayList()); ..

Algorithm/(Java) PS 2024.02.22

[알고리즘] Divide and Conquer

1. Divide and Conquer전체 문제를 하위 문제로 나누고, 하위 문제들을 각각 해결한 후, 각 문제의 해를 결합하여 문제를 해결하는 알고리즘 동작 원리분할: 원래의 문제를 여러 하위 문제로 나누기 (하위 문제는 원래 문제와 비슷함)정복: 각 하위 문제를 해결하기 (재귀적으로 반복)결합: 하위 문제의 해결책들을 결합하여 원래 문제의 해 찾기 장점성능: 병렬 처리 가능 (서로 독립적) 2. Merge Sort주어진 두 리스트를 하나의 정렬된 리스트로 병합하는 알고리즘 입니다.재귀적으로 반복하면서 전체를 정렬하는 방식입니다. 동작 방식분할: 리스트를 반으로 나눕니다.정복: 각 부분 리스트를 정렬합니다.병합: 부분 리스트들을 하나의 정렬된 리스트로 병합합니다. 3. Binary Search정렬된 리..

Algorithm 2024.02.18

[삼각함수] 삼각함수

1. 삼각함수란 각의 크기를 삼각비로 나타내는 함수입니다. 직각삼각형의 빗변은 항상 밑변, 높이와 일정한 비율을 유지합니다. 직각삼각형 $sinA = $$\dfrac{a}{h}$ $cosA = $$\dfrac{b}{h}$ $tanA = $$\dfrac{a}{b}$ 단위원 $\sin\theta$ = $\dfrac{y}{r}$ $\cos\theta$ = $\dfrac{x}{r}$ $\tan\theta$ = $\dfrac{y}{x}$ 2. 성질 값 특수각 $\sin$ $\cos$ $\tan$ 0 0 1 0 30$^\circ$ 1/2 $\sqrt{3}$/2 1/$\sqrt{3}$ 45$^\circ$ $\sqrt{2}$/2 $\sqrt{2}$/2 1 60$^\circ$ $\sqrt{3}$/2 1/2 $\sqrt{..

Math 2024.02.18

[삼각함수] 코사인 법칙

1. 코사인 법칙 이란? 삼각형의 세 변과 한 각의 코사인 사이에 성립하는 정리입니다. 피타고라스의 정리에 대한 일반화 입니다. 정의 삼각형의 두 변의 제곱합에서 사잇각의 코사인과 그 두 변의 곱의 2배를 빼면, 남은 변의 제곱과 같아집니다. 사용사례 삼각형의 두 변과 그 사잇각을 알 때, 남은 한 변 구하기 $ c^2 = a^2 + b^2 - 2abcosC $ 삼각형의 세 변을 알 때, 세 각 구하기 $cosC = $$\dfrac {a^2+b^2-c^2}{2ab}$ 출처 Wiki - 코사인 법칙

Math 2024.02.18